• Предмет: Математика
  • Автор: Sivacheva1612
  • Вопрос задан 3 года назад

Найди значение алгебрического выражения по многочленам​

Приложения:

Ответы

Ответ дал: morganaD
0

Ответ:

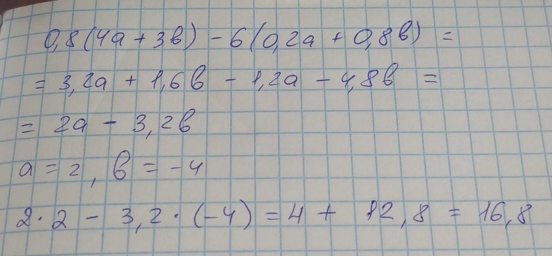
Решение на фотографии

Приложения:
Вас заинтересует