Ответы
Ответ дал:
3
Ответ:
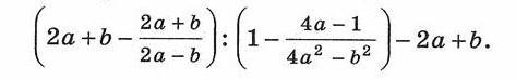
Здраствуйте, ответ указен на фотографии.
Объяснение:
...
Приложения:

Вас заинтересует
2 года назад
2 года назад
2 года назад
7 лет назад
9 лет назад