• Предмет: Алгебра
  • Автор: brivach76
  • Вопрос задан 3 года назад

Решите пожалуйста 9 и 10 (в 10-ом Log5(5)

Приложения:

Mirage86: Вы можете объяснить номер 10, пожалуйста
tamarabernukho: Log5(5)=1=Log(11,11)
tamarabernukho: log(11,11) меньше log(11,15)
tamarabernukho: В условии точно log(5,5)?

Ответы

Ответ дал: DK954
0

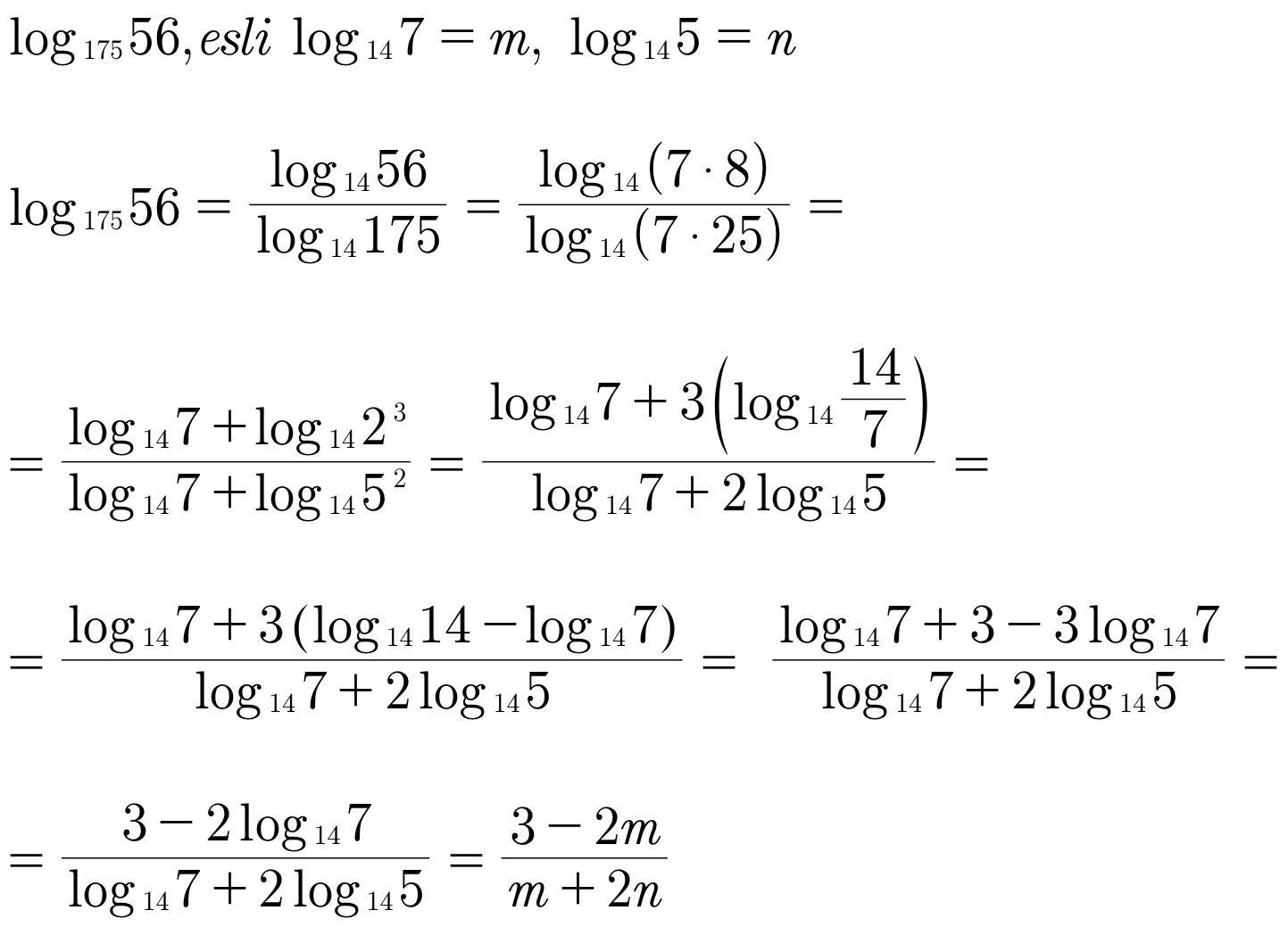
9.

log₁₄ 7 = m          найдем log₁₇₅ 56 - ?

log₁₄ 5 = n

Решение:

Используем формулу перехода другому основанию:

log_{a}b = \frac{log_{c}b}{log_{c}a}

log₁₇₅ 56 = log₁₄ 56/log₁₄ 175 = log₁₄ (8×7)/log₁₄ (25×7) = log₁₄ (2³×7)/log₁₄ (5²×7) =  log₁₄ 2³ ×  log₁₄ 7/log₁₄ 5² ×  log₁₄ 7 = 3log₁₄ 2 ×  log₁₄ 7/2log₁₄ 5 ×  log₁₄ 7

Нам нужно найти log₁₄ 2:

log₁₄ 2 = log₁₄ 14/7 = log₁₄ 14 - log₁₄ 7 = 1 - m

Получаем:

log₁₇₅ 56 = 3×(1 - m) + m/2n + m = 3 - 3m + m/2n + m = 3 - 2m/2n + m

Ответ: log₁₇₅ 56 = 3 - 2m/2n + m

10.

log₅ 5 = 1

log₁₁ 15 = log₁₀ 15/log₁₀ 11 ≈ 1,17609/1,04139 ≈ 1,12934

Следовательно:

1 < 1,12934

log₅ 5 < log₁₁ 15

Ответ: log₅ 5 < log₁₁ 15

Ответ дал: tamarabernukho
2

Ответ:

Объяснение:

Log5(5)=1=Log(11,11)<log(11,15)

Log5(5)<Log(11,15)

Основание логарифма =11>1 ,

функция возрастающая

Приложения:
Вас заинтересует