• Предмет: Математика
  • Автор: vadimzr08
  • Вопрос задан 3 года назад

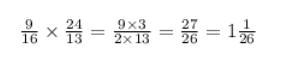
9/16 13/24
заміни відношення дробох чисел натуральними

Ответы

Ответ дал: Ruslana8767
1

Ответ:

Пошаговое объяснение:

Приложения:
Вас заинтересует