• Предмет: Алгебра
  • Автор: alisagerasko
  • Вопрос задан 3 года назад

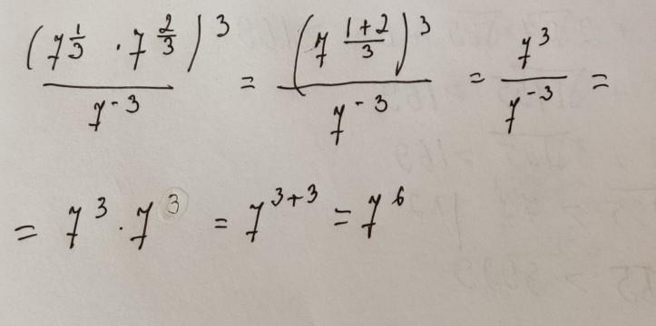
(7 в степени 1/3 умножить на 7 в степени 2/3)в кубе
Дробь
7 в -3 степени

Ответы

Ответ дал: Glanik34
0

На фото.,.,.,.,.,.,.,.

Приложения:
Вас заинтересует