Ответы
Ответ дал:
1
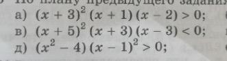
Ответ приведен в картинке :
Приложения:

Аноним:
Пожалуйста помогите с английским...40 баллов https://znanija.com/task/39857376
Вас заинтересует
2 года назад
2 года назад
2 года назад
2 года назад
7 лет назад
9 лет назад