• Предмет: Алгебра
  • Автор: l4pineg
  • Вопрос задан 3 года назад

помогите пж не шарю даю 30 баллов

Приложения:

Ответы

Ответ дал: ganiyevazuxra6
1

Объяснение:

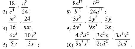
 \frac{18}{ {c}^{4} }  \times  \frac{ {c}^{3} }{24}  =  \frac{3}{4c}

 \frac{ {m}^{2} }{16}  \times  \frac{24}{mn}  =  \frac{3m}{2n}

 \frac{6 {x}^{2} }{5y}  \times  \frac{10 {y}^{3} }{3x}  =  4x {y}^{2}

 \frac{8 {a}^{17} }{ {b}^{17}}  \times  \frac{ {b}^{20} }{24 {a}^{15} }  =  \frac{ {a}^{2} {b}^{3}  }{3}

 \frac{3 {x}^{2} }{5 {y}^{3} }  \times  \frac{2 {y}^{2} }{9 {x}^{3} }  \times  \frac{5y}{3x}  =  \frac{2}{9 {x}^{2} }

 \frac{4 {c}^{3}  {d}^{2} }{9 {a}^{5}  {x}^{3} }  \times  \frac{3 {a}^{2}x }{2c {d}^{2} }  \times  \frac{3 {a}^{2} {x}^{2}  }{2cd}  =  \frac{c}{a}

Вас заинтересует