• Предмет: Алгебра
  • Автор: ularbek17
  • Вопрос задан 3 года назад

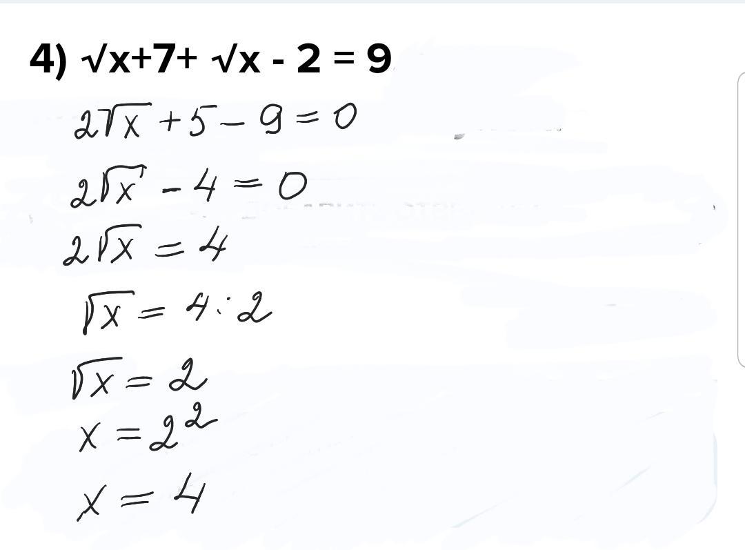
4) √x+7+ √x - 2 = 9.решите добрый люди пожалуйста ​

Ответы

Ответ дал: Elo4kaw
0

Решение данного уравнение на прикреплённом фото.

Приложения:

ularbek17: мне сказали что ответ должен быть х=18
ularbek17: но спасибо! за вне мание и помащь !
Elo4kaw: Пожалуйста! Но если х= 18,то корень из 18 = 4,2426406871,округляем до целого числа 4 и подставляем в уравнение :4+7+4-2= 13 ,а в ответе должно быть 9.
Elo4kaw: За какой класс уравнение?
ularbek17: не знаю рандом задачки
Вас заинтересует