• Предмет: Математика
  • Автор: Retun132
  • Вопрос задан 3 года назад

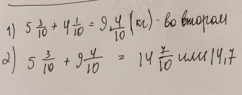
шестой класс математика номер 353 в одном сосуде 5 3/10 кг масла во втором на 4 1/10 кг больше Сколько килограммов масла в двух сосудах ​пжжжж

Ответы

Ответ дал: Glanik34
29

Вот. На фото,..,.,.,.,.

Приложения:

Аноним: а можно условия
rasulovashirina0708: Условия же простое
Аноним: спасибо большое
Вас заинтересует