• Предмет: Алгебра
  • Автор: dbdbdbdbdb38472
  • Вопрос задан 3 года назад

Сделайте пожалуйста полностью, очень надо!!!
Заранее спасибо ​

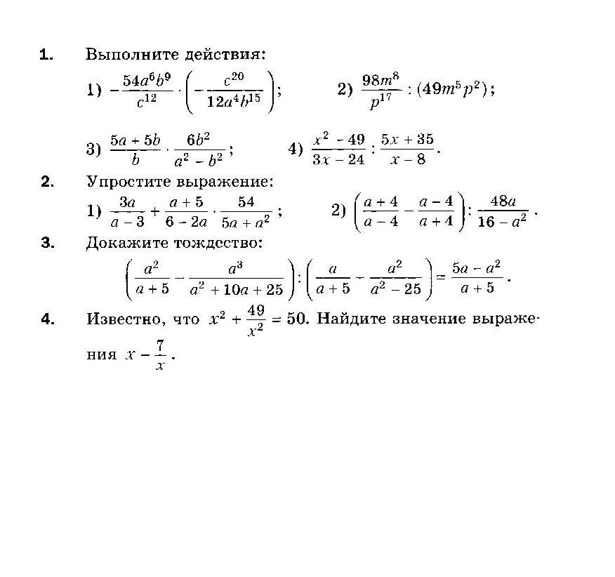
Приложения:

Ответы

Ответ дал: ganiyevazuxra6
1

 {x}^{2}  +  \frac{49}{ {x}^{2} }  = 50 \\  \frac{ {x}^{4}  + 49}{ {x}^{2} }  = 50 \\  {x}^{4}  + 49 = 50 {x}^{2}  \\  {x}^{4}  + 49 - 50 {x}^{2}  = 0 \\  {x}^{4}  - 50 {x}^{2}  + 49 = 0 \\    {x}^{2}  = t \\  {t}^{2}  - 50t + 49 = 0 \\  {t}^{2}  - t - 49t  +  49 = 0 \\ t(t - 1) - 49(t - 1) = 0 \\ (t - 1)(t - 49) = 0 \\1) t = 1 \\ 2)t = 49 \\  1.1){x }^{2}  = 1 \\ x =  + . - 1 \\ 2.1) {x}^{2}  = 49 \\ x =  + . - 7

1) - 7 - ( \frac{7}{ - 7} ) =  - 7 + 1 =  - 6 \\ 2) - 1 - ( \frac{7}{ - 1} ) =  - 1 + 7 = 6 \\ 3)1 -  \frac{7}{1}  = 1 - 7 =  - 6 \\ 4)7 -  \frac{7}{7}  = 7 - 1 = 6

Вас заинтересует