• Предмет: Алгебра
  • Автор: AlexaKa
  • Вопрос задан 3 года назад

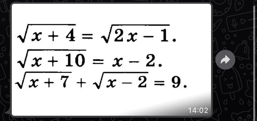
Решите 1 пример, пожалуйста

Приложения:

Ответы

Ответ дал: XGuruX
1

Ответ:

5

Объяснение:

Возведем обе части уравнения в квадрат получим:

x+4=2x-1

x=5

Выполним проверку:

Корень из 9 = Корень из 9 - верно.

Вас заинтересует