• Предмет: Математика
  • Автор: AlexaKa
  • Вопрос задан 3 года назад

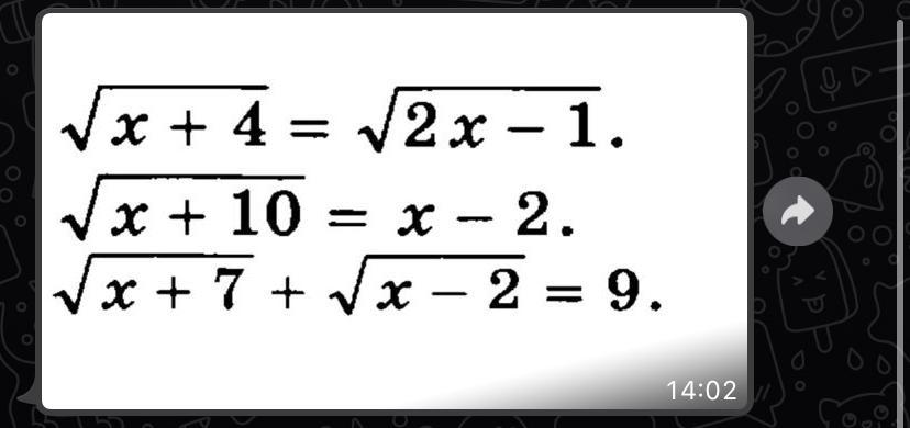
Решите 3 пример, пожалуйста

Приложения:

Ответы

Ответ дал: kmolov2231
1

Ответ:

18

Пошаговое объяснение:

\sqrt{x+7} + \sqrt{x-2} = 9

Перенесем второе слагаемое в правую часть уравнения

\sqrt{x+7\\} = 9 - \sqrt{x-2}

возведем обе части в квадрат

х + 7 = 81 - 18\sqrt{x-2} + х

После незначительных вычислений получим

-72 = -18\sqrt{x-2}

затем сократим на -18 и возведем обе части в квадрат:

16 = х - 2

и =)

х = 18

Вас заинтересует