Ответы
Ответ дал:
0
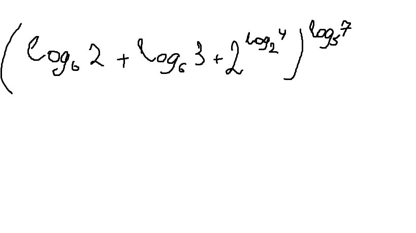
(log6(2) +log6(3) + (2^log2(4)))^log5(7) =
(log6(2) +log6(3) + 4 )^log5(7)=
(log6(2*3) + 4 )^log5(7)=
(1 + 4 )^log5(7)=
5^log5(7)=7
(log6(2) +log6(3) + 4 )^log5(7)=
(log6(2*3) + 4 )^log5(7)=
(1 + 4 )^log5(7)=
5^log5(7)=7
Вас заинтересует
3 года назад
3 года назад
8 лет назад
8 лет назад
11 лет назад