• Предмет: Алгебра
  • Автор: vityamath
  • Вопрос задан 3 года назад

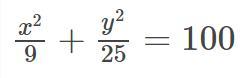
Данное уравнение, график чего?

Приложения:

Ответы

Ответ дал: aleksoref
2

Объяснение:

Получается некий эллипс

Каноническая формула:

 \frac{ {x}^{2} }{900}  +  \frac{ {y}^{2} }{2500}  = 1

Вершины(на большей полуоси): (0;-50) и (0; 50)

Вершины(на малой полуоси): (-30; 0) и (30; 0)


vityamath: *эллипс
aleksoref: да, верно
Вас заинтересует