• Предмет: Математика
  • Автор: altynai0504
  • Вопрос задан 3 года назад

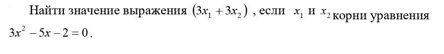
Найти значения выражения

Приложения:

Ответы

Ответ дал: Detkooooo
1

Ответ:

Д=25+24=49

х1= 5+7/6=2

х2=5-7/6=0,33

(3*2+3*0,33)=6,99

Пошаговое объяснение:

Вас заинтересует