• Предмет: Алгебра
  • Автор: MrFixPlayYT
  • Вопрос задан 3 года назад

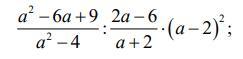
Выполните действия: Алгебра

Приложения:

Ответы

Ответ дал: Universalka
0

1)\frac{a^{2}-6a+9 }{a^{2}-4 }:\frac{2a-6}{a+2}*(a-2)^{2}=\frac{(a-3)^{2}*(a+2)*(a-2)^{2}  }{(a-2)(a+2)*2(a-3)}=\frac{(a-3)(a-2)}{2}\\\\\\2)\frac{2}{4x^{2}-y^{2}}*\frac{y-2x}{4x}=\frac{y-2x}{(2x-y)(2x+y)*x}=-\frac{1}{x(2x+y)}\\\\\\3)\frac{ax-xy}{a} :\frac{a^{2}-ay}{x}=\frac{x(a-y)}{a}*\frac{x}{a(a-y)}=\frac{x^{2}}{a^{2}}

Ответ дал: manyny06
0

Ответ:

решение смотри на фотографии

Объяснение:

Приложения:
Вас заинтересует