Ответы
Ответ дал:
1
Ответ:
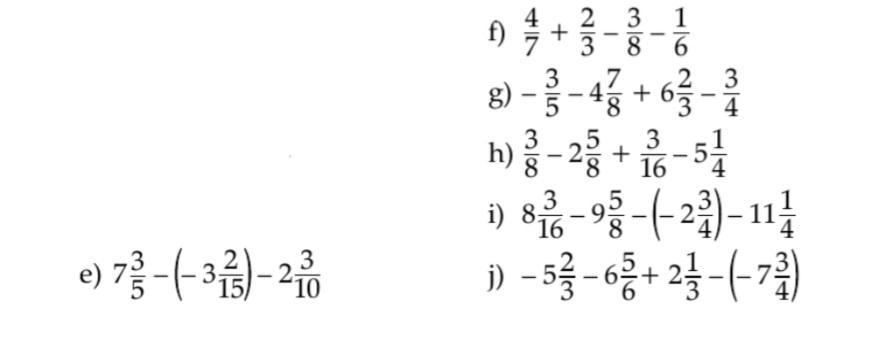
1) 7 3/5-(-3 2/15) - 2 3/10
38/5 + 47/15 - 23/10
2) 4/7 + 2/3 - 3/8 - 1/6
3)
4) (3-21)/8+3/16-21/4
-18/8=3/16-21/4
-9/4+3/16-21/4
-30/4+3/16
(-120+3)/16
-117/16
5) 131/16 - 77/8 + 11/4 - 45/4
131/16 - 77/8 + -34/4
131/16 - 77/8 + -17/2
(131-154-136)/16
-159/16
6) -17/3 - 41/6 + 7/3 + 31/4
(-17+7)/3 - 41/6 + 31/4
-10/3 - 41/6 + 31/4
(-40-82+93)/12
-29/12
Пошаговое объяснение:
vikatakblet:
Спасибо!
Ответ дал:
1
Ответ:
вот решение....................
Приложения:

Вас заинтересует
2 года назад
2 года назад
2 года назад
7 лет назад
7 лет назад
9 лет назад