• Предмет: Математика
  • Автор: essketitss
  • Вопрос задан 3 года назад

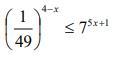
4) Решить неравенства:

Приложения:

Ответы

Ответ дал: julia61062
1

Ответ:

Пошаговое объяснение:

Приложения:
Вас заинтересует