• Предмет: Алгебра
  • Автор: Zdun
  • Вопрос задан 3 года назад

Нужна помощь!!!!!!!!!!

Приложения:

Ответы

Ответ дал: baaaabyyyy
1

Ответ:

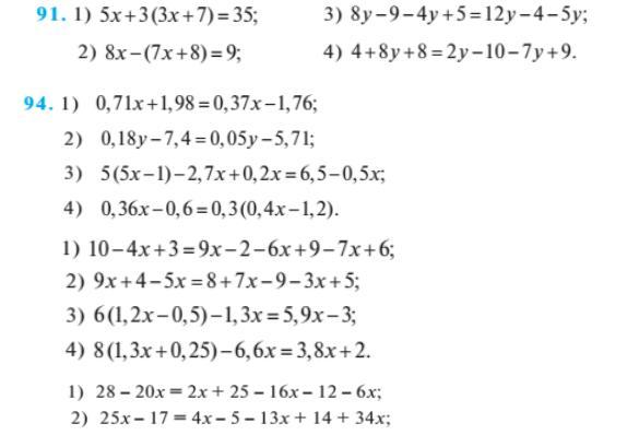
номер 91

1) x = 1

2) x = 17

3) y = 0

4) y = - 1

Объяснение:

если нужно, мону прикрепить фото с пошаговыми решением)


Zdun: Давай
Вас заинтересует