• Предмет: Алгебра
  • Автор: cychvj
  • Вопрос задан 3 года назад

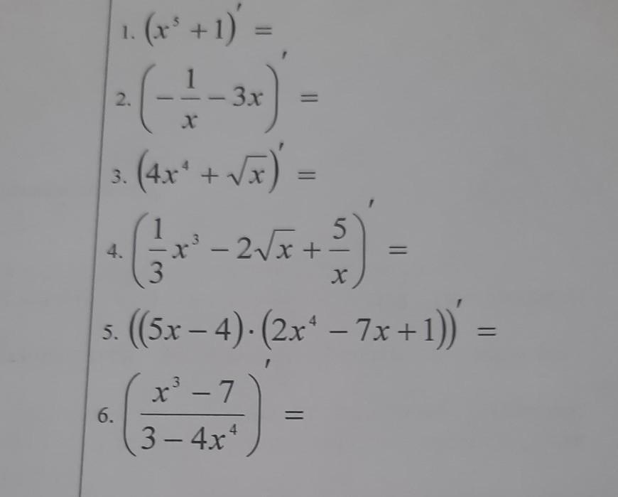
помогите производная ​

Приложения:

FedоrM: Я кстати если бы и хотел вам помочь,не смог бы) я не знаю,как это решать)

Ответы

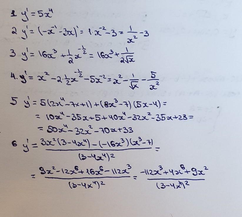
Ответ дал: Miroslava227
1

Ответ:

решение на фотографии

Приложения:

cychvj: блин жаль что ты раньше не решил(
Вас заинтересует