• Предмет: Математика
  • Автор: anastasiyaogneva
  • Вопрос задан 3 года назад

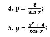
Помогите пожалуйста решить с объяснением два примера - НАЙДИТЕ ПРОИЗВОДНУЮ ФУНКЦИИ.

Приложения:

anastasiyaogneva: Задание : найдите производную функций

Ответы

Ответ дал: Miroslava227
1

Ответ:

решение на фотографии

Приложения:
Вас заинтересует