Ответы
Ответ дал:
1
Ответ:
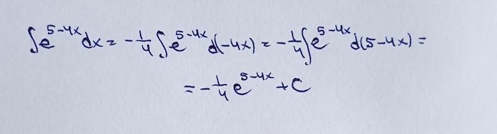
решение на фотографии
Приложения:

mrarsik18:
спасибо
Вас заинтересует
2 года назад
2 года назад
2 года назад
2 года назад
7 лет назад
7 лет назад
9 лет назад