• Предмет: Алгебра
  • Автор: arhibalto1
  • Вопрос задан 3 года назад

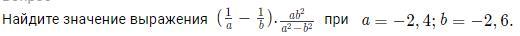
Помогите решить. пж((((

Приложения:

Ответы

Ответ дал: ganiyevazuxra6
1

Ответ:

( \frac{1}{a}  -  \frac{1}{b} ) \times  \frac{a {b}^{2} }{ {a}^{2} -  {b}^{2}  }  =  \frac{b - a}{ab}  \times  \frac{a {b}^{2} }{ {(a - b)(a + b)}} =  -  \frac{a - b}{ab}   \times  \frac{a {b}^{2} }{(a - b)(a + b)}  =   - \frac{b}{a + b}  =  -  \frac{( - 2.6)}{( - 2.4 - 2.6)}  =  -  \frac{2.6}{5}  =  -  \frac{13}{5}   \div 5 =  -  \frac{13}{5}  \times  \frac{1}{5}  =  -  \frac{13}{25}

Ответ дал: wwoxy
1
Ответ на этот пример: 0,52
Вас заинтересует