• Предмет: Химия
  • Автор: wwwhafkat
  • Вопрос задан 11 лет назад

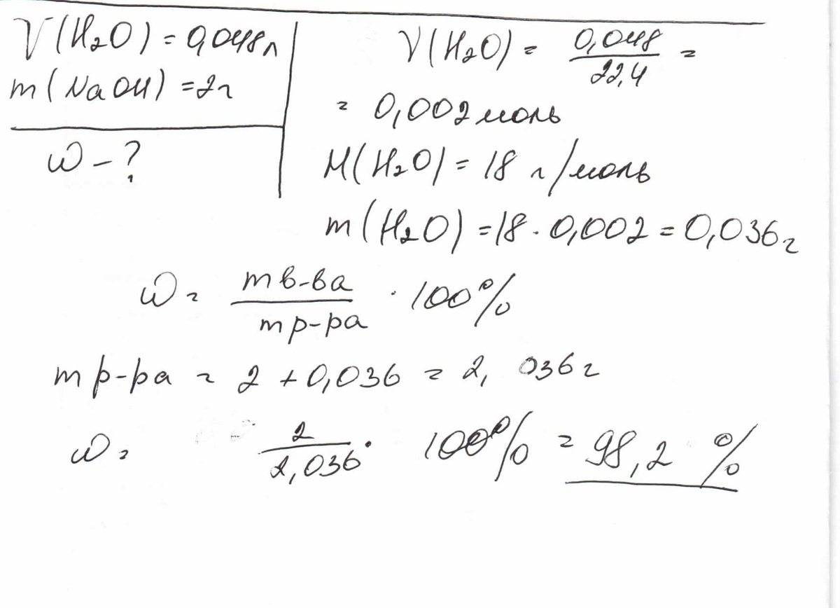
В воде объемом 48 мл растворили гидроксид натрия массой 2 г. Определите массовую долю в процентах растворенного вещества в полученном растворе.

Помогите осталась только надежда на вас!!!Спасибо большое! 

Ответы

Ответ дал: AscarisLumbricoides
0
наверное так.................
Приложения:
Вас заинтересует