• Предмет: Математика
  • Автор: tol40k
  • Вопрос задан 3 года назад

помогите пожалуйста с самостоятельной.
кто не знает не нужно даже пытатся.​

Приложения:

Ответы

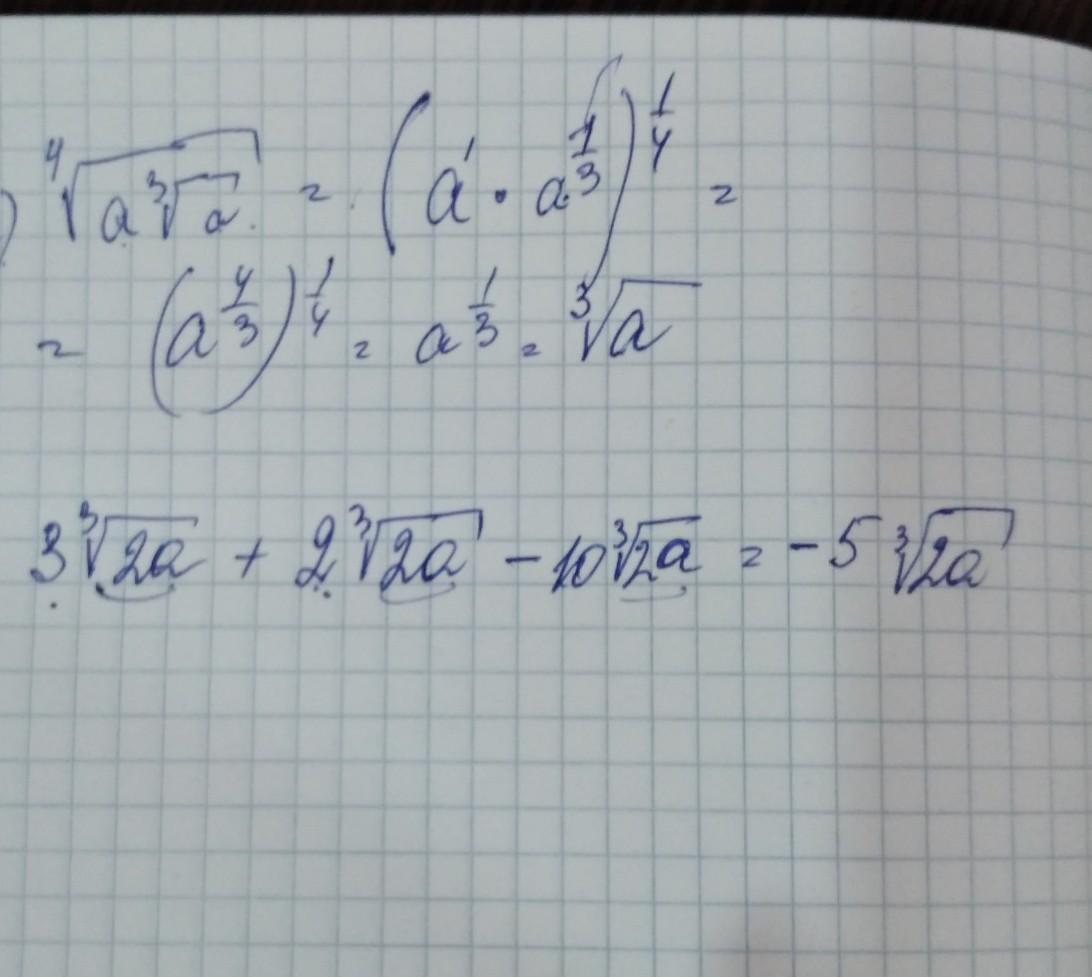
Ответ дал: eva741212
1

Пошаговое объяснение:

///////////////////_/////_/////////

Приложения:

tol40k: спасибо огромное.❤️
Вас заинтересует