• Предмет: Математика
  • Автор: gghyryd
  • Вопрос задан 3 года назад

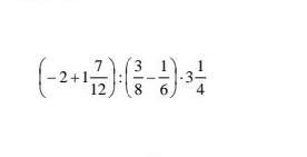
Помогите по математика пж 6 класс!СРОЧНА!​

Приложения:

Ответы

Ответ дал: ulik2039
0

Ответ:

захо_дишь в я_ндекс (и_ли что-то напо_добие) пишешь"калькулятор для примеров с дроб_ями" и там зах_одишь на перв_ый сайт)

Пошаговое объяснение:

(Там не полу_чается отве_тить)

Приложения:
Вас заинтересует