• Предмет: Геометрия
  • Автор: cheburator616
  • Вопрос задан 3 года назад

5. Дано: треугольник АВС, АС = 4√2 см, кутA = 45°, кутB = 30°. Знайдіть вс.​

Ответы

Ответ дал: anon333
1

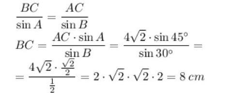
Відповідь:

Дано:

ΔABC

АС=4√2 см

∠А=45°

∠В=30°

Найти: BC

Решение:

По т. синусов:

Пояснення:

Ответ: 8 см.

Приложения:
Вас заинтересует