• Предмет: Алгебра
  • Автор: ykrabuky
  • Вопрос задан 3 года назад

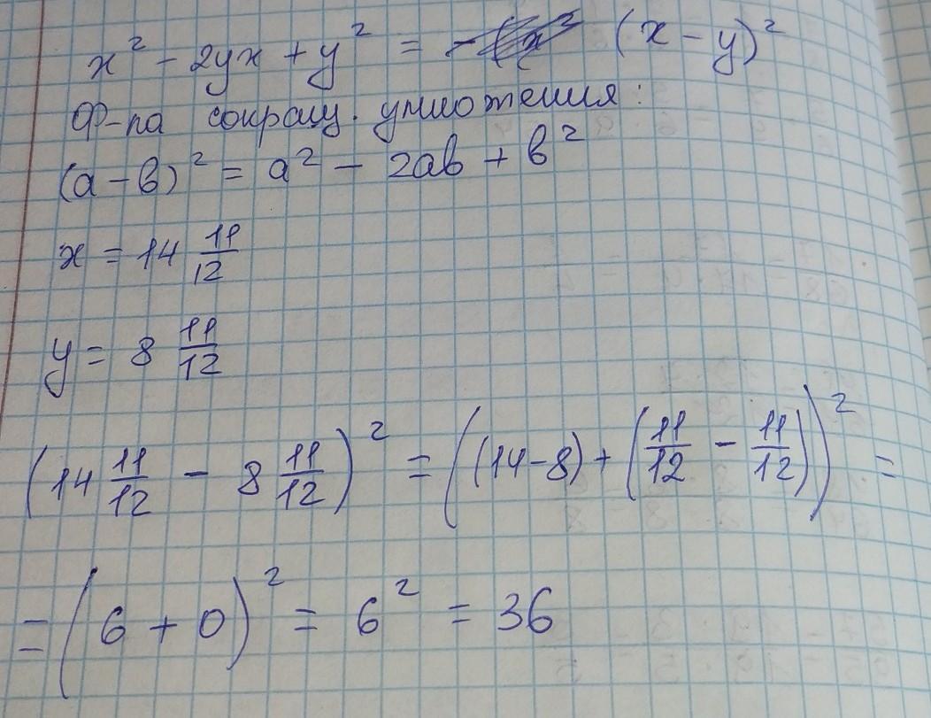
Вычислите значение многочлена x^2-2xy+y^2 при x=14 11/12 y=8 11/12

Ответы

Ответ дал: morganaD
2

Ответ:

Решение на фотографии

Приложения:

ykrabuky: Gfcb,j
ykrabuky: Спасибо
Вас заинтересует