• Предмет: Алгебра
  • Автор: rtvoirotebal
  • Вопрос задан 3 года назад

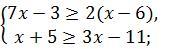
Самостоятельная по алгебре. Зделайте пж! 20 балов

Приложения:

Ответы

Ответ дал: Аноним
1

Данный ответ представлен фотографией.

Приложения:

wkrasik: Ну ёмае. Не успел решить. Ты быстрее:(
Вас заинтересует