• Предмет: Алгебра
  • Автор: osmansuperluper
  • Вопрос задан 3 года назад

Найти производную, математический анализ

Приложения:

Ответы

Ответ дал: Miroslava227
1

Ответ:

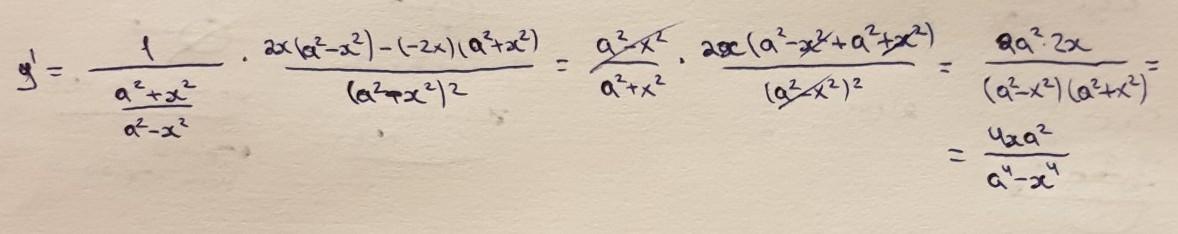
решение на фотографии

Приложения:
Вас заинтересует