Вес девочки составлял 1/9 веса всего класса. После того как девочка похудела на 6 килограммов, её вес стал составлять 1/12 веса всего класса. Сколько изначально весил весь класс?
jekadva:
216кг
4/36х-6=3/36х
1/36х=6
х=36 умножить на 6
х=216
Ответ: 216 кг
Ответы
Ответ дал:
1
Ответ:
216 кг
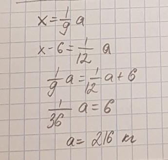
a - вес всего класса
x - вес девочки
Приложения:

Вас заинтересует
2 года назад
2 года назад
2 года назад
7 лет назад
7 лет назад
9 лет назад