• Предмет: Алгебра
  • Автор: lisenokty31
  • Вопрос задан 3 года назад

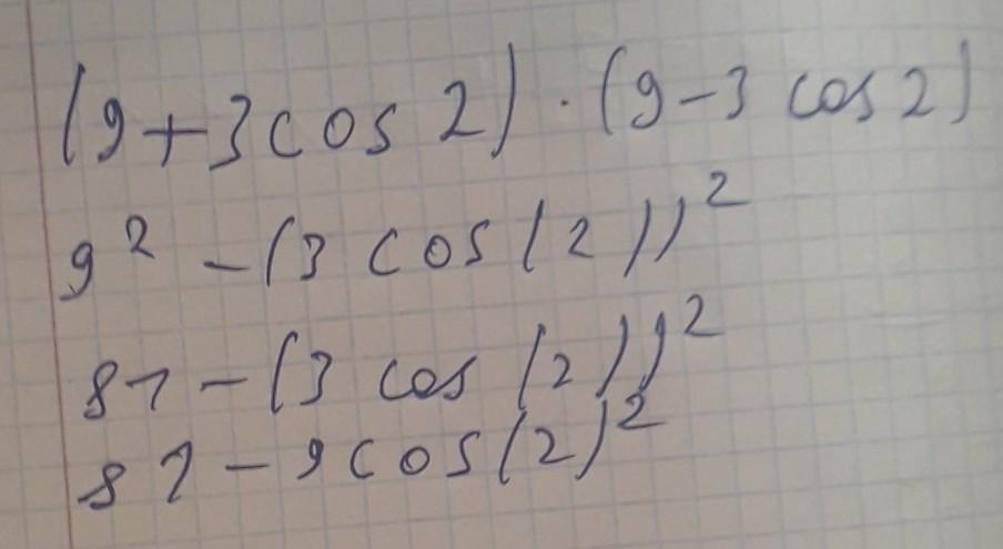
упрости выражение: (9+3cos2)*(9-3cos2)
СРОЧНОООООООООООООООО!!!!!!!!!!!!!!!!!!!!!!!!!!!!!!!!!!!!!!!!!!!!!!!!!!!!!!!!!!!!!!!!!!!!!!!!!!!!!!!!!


MizoriesKun: Что это за cos2 ????
lisenokty31: ну,2 должна быть вверху, но я не знаю как это сделать((((
MizoriesKun: Нажми двойку и удерживал ,должен появиться скрытый символ ² или ставь знак степени cos ^2 (a)
MizoriesKun: А вообще это формула разность квадратов (а+b)(a-b)=a²- b²
lisenokty31: спасиб)

Ответы

Ответ дал: vmalahovv
1

Ответ:

Подпишись и поставь лайк !

Приложения:
Вас заинтересует