• Предмет: Алгебра
  • Автор: umka370
  • Вопрос задан 3 года назад

Помогите по алгебре!!!!!!!!!!!!

Приложения:

Ответы

Ответ дал: parus77
1

Ответ:

Объяснение:

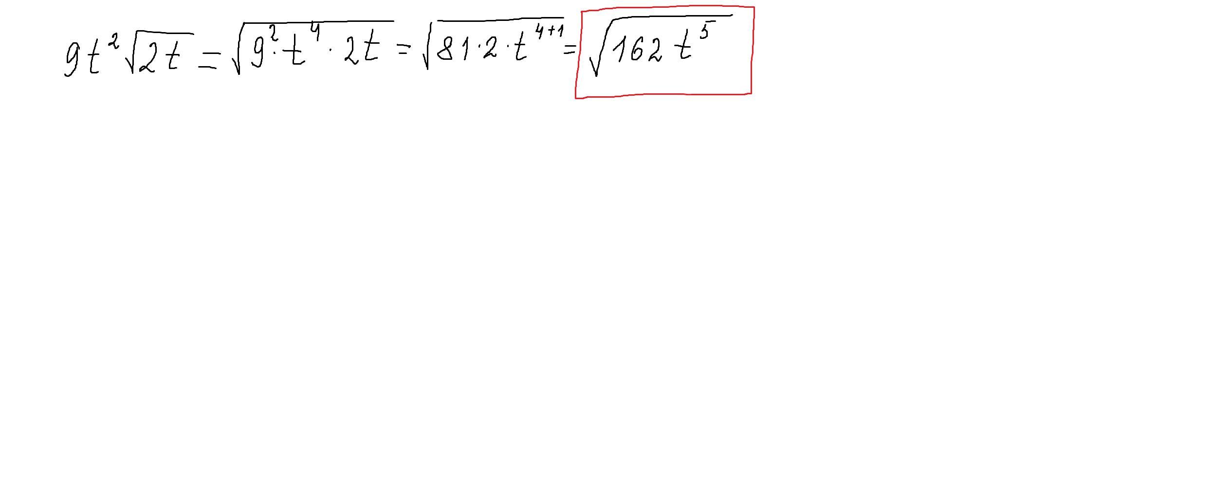
решение внизу

Приложения:
Вас заинтересует