• Предмет: Математика
  • Автор: ishidaa
  • Вопрос задан 3 года назад

решите с объяснением
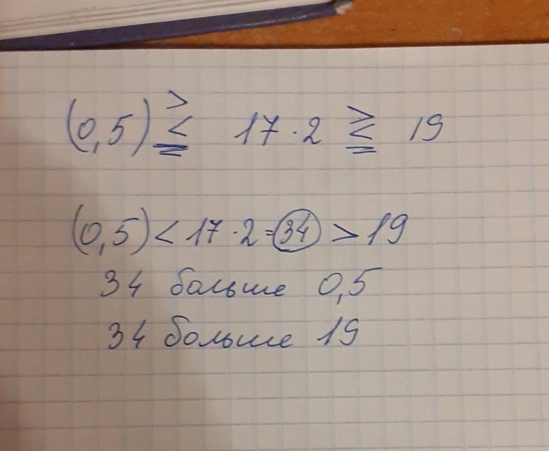
(0,5)^17*2^19


ulianasoni46: что значит вот этот знак^
ishidaa: степень
ulianasoni46: понятно спасибо

Ответы

Ответ дал: valeevilmir22
1

Ответ:

4

Пошаговое объяснение:

(0,5)^17*2^19=(0,5)^17*2^17*2^2=(2*0,5)^17*2^2=1^17*4=4

Ответ дал: ulianasoni46
0

Ответ:

думаю так

просто мне так объясняли в школе

Приложения:

valeevilmir22: нет же, там тип 0,5 в степени 17 умножить на 2 в степени 19
Вас заинтересует