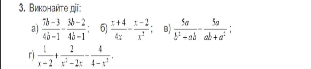
Выполните действия:
Пжжж хоть бы несколько.
Приложения:

serhey0019:
сразу писать ответ или росписать?
Ответы
Ответ дал:
1
Вас заинтересует
2 года назад
2 года назад
2 года назад
2 года назад
7 лет назад
9 лет назад
9 лет назад