• Предмет: Математика
  • Автор: ulianabacheva05
  • Вопрос задан 3 года назад

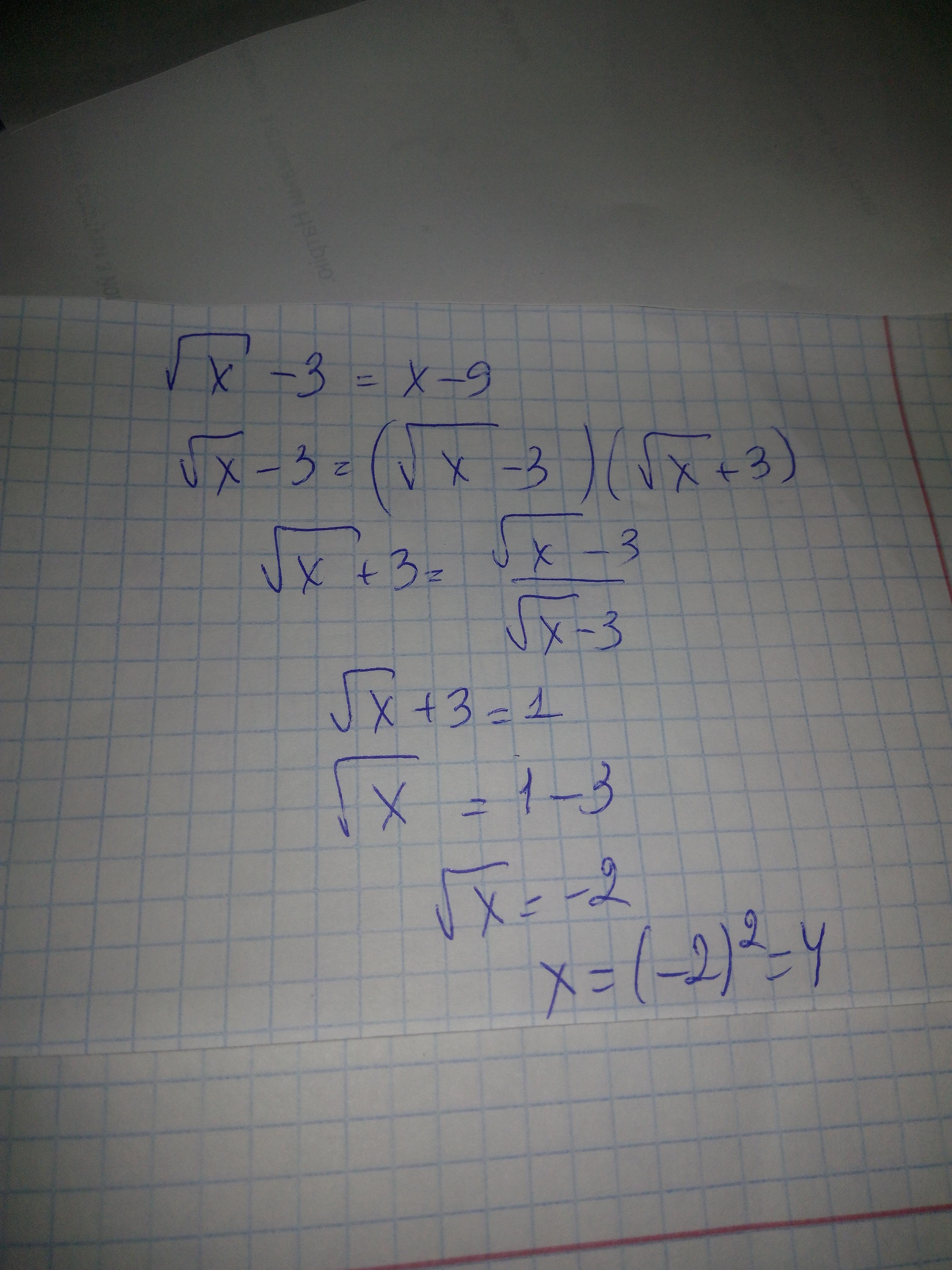
Помогите помочь √x-3=x-9

Ответы

Ответ дал: PinkesRose
0

Ответ:

Пошаговое объяснение:

Приложения:
Вас заинтересует