• Предмет: Алгебра
  • Автор: serhee2
  • Вопрос задан 3 года назад

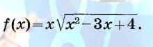
Помогите найти производную!

Приложения:

vmalahovv: завтра решу

Ответы

Ответ дал: akshashak
0

x = 0  \\ 0 = 0 \sqrt{0 {}^{2} - 3 \times 0 + 4 }

x = 0

Приложения:
Вас заинтересует