• Предмет: Алгебра
  • Автор: PUPCECH
  • Вопрос задан 3 года назад

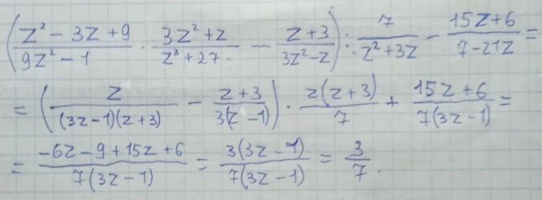
помогите с алгеброй, даю 100 баллов!

Приложения:

Ответы

Ответ дал: vityamath
1

Объяснение:

Решенре на фотке...........

Приложения:
Ответ дал: SanchoLavr
1

Ответ:

3/7

Объяснение:

Решение представлено на рисунке.

Приложения:
Вас заинтересует