Ответы
Ответ дал:
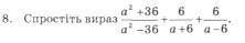
1
Ответ:
(а+6)/(а-6)
Объяснение:
Посмотрите фото
Приложения:


Вас заинтересует
2 года назад
2 года назад
2 года назад
7 лет назад
9 лет назад