• Предмет: Математика
  • Автор: lemurity
  • Вопрос задан 3 года назад

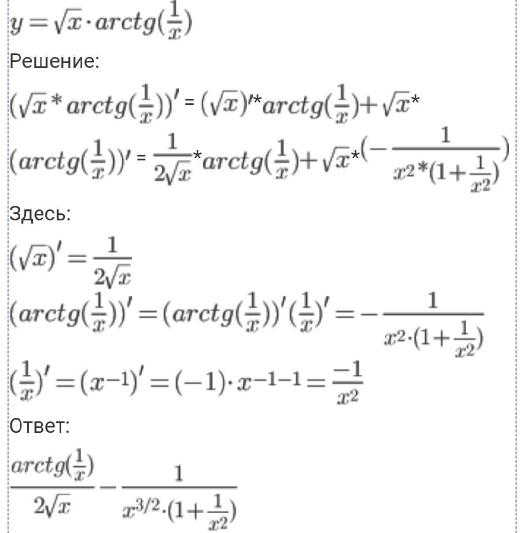
Найдите производную функции

Приложения:

Ответы

Ответ дал: HonestIvanov
0

Ответ:

Пошаговое объяснение:

Приложения:
Вас заинтересует