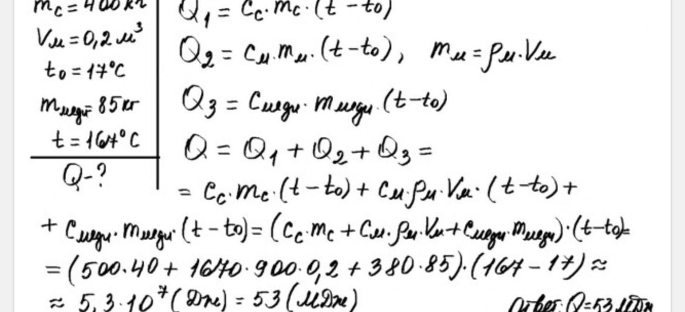
В стальной ванне массой 40 кг, наполненной 200 л. машинного масла с температурой 17 °C, нагревают медные детали массой 85 кг. Какое кол-во теплоты нужно затратить, чтобы довести температуру ванны до 167 °C? Плотность машинного масла 900кг/м^3, а удельная теплоёмкость 1700 Дж/кг*°C
Ответы
Ответ дал:
6
Ответ:
53 мДж
Как-то так
Приложения:

Вас заинтересует
2 года назад
2 года назад
2 года назад
7 лет назад
7 лет назад
9 лет назад