Ответы
Ответ дал:
1
Ответ:
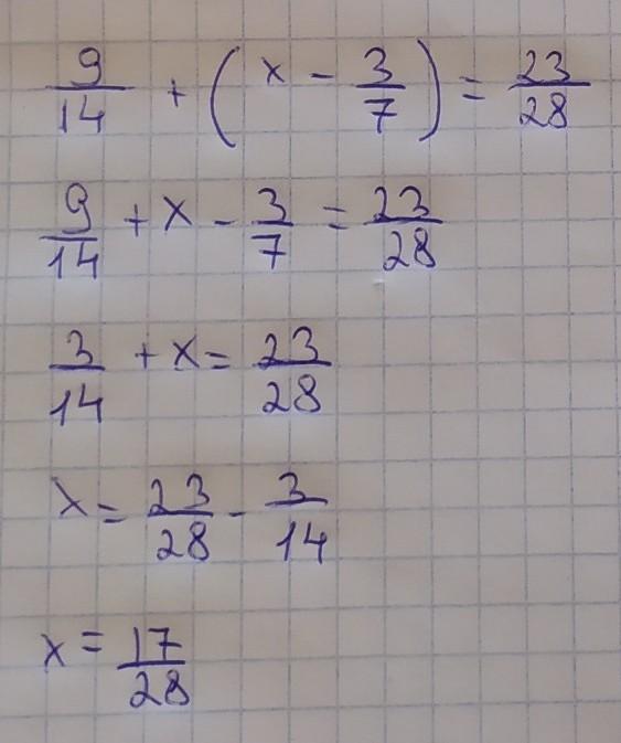
x = 17/28
Объяснение:
..................
Приложения:

Ответ дал:
1
....................
Вас заинтересует
2 года назад
2 года назад
2 года назад
7 лет назад
9 лет назад
9 лет назад