• Предмет: Алгебра
  • Автор: namanas101
  • Вопрос задан 3 года назад

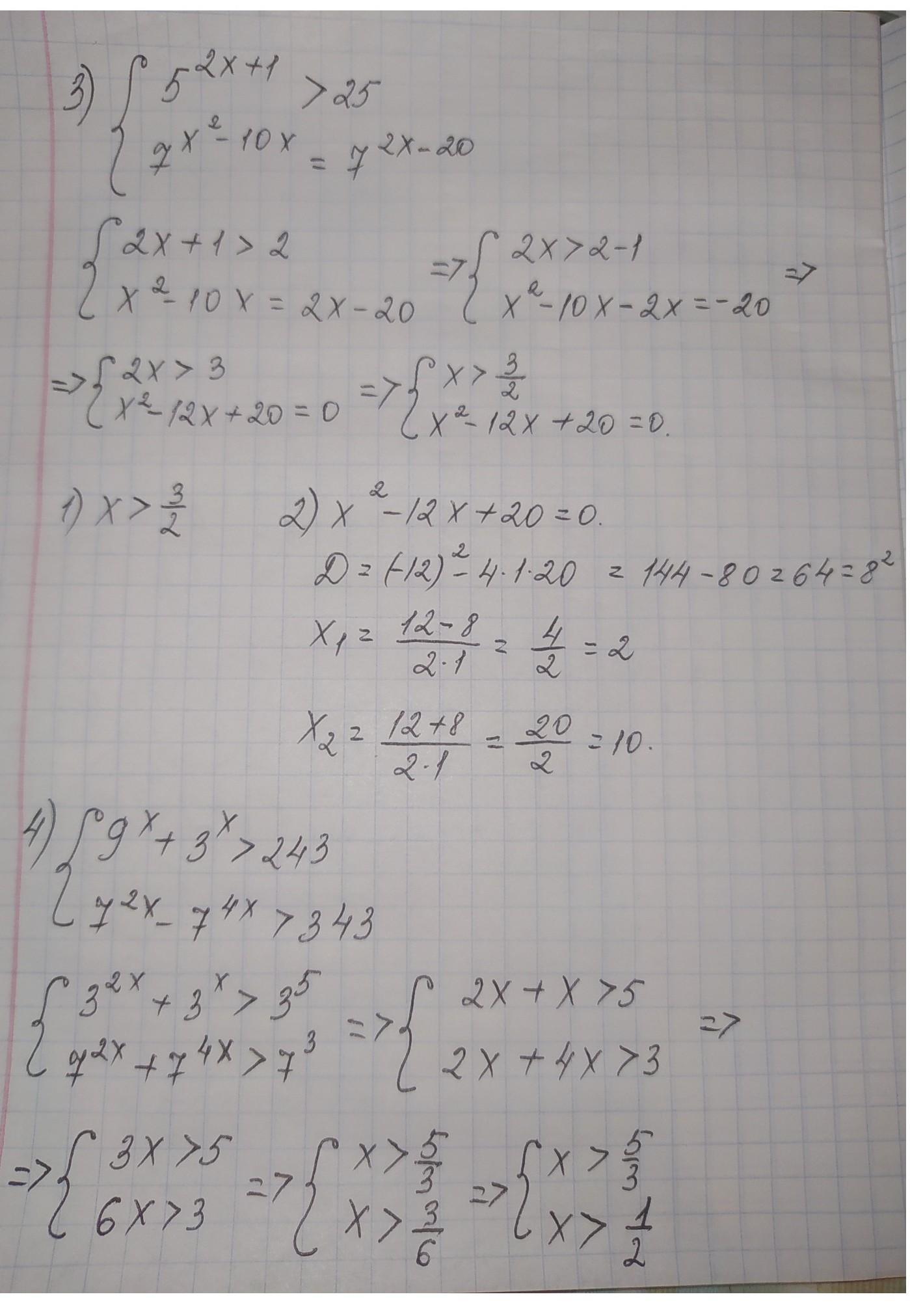
Помогите с 3 и 4
Алгебра 10 класс

Приложения:

Ответы

Ответ дал: erasylbaratov
1

..............................

Приложения:
Вас заинтересует