• Предмет: Математика
  • Автор: Nastya77364
  • Вопрос задан 3 года назад

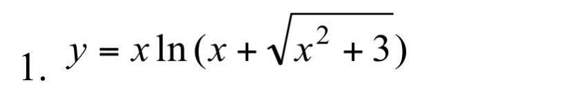
Найти дифференциал dy

Приложения:

Ответы

Ответ дал: natalyabryukhova
1

Ответ:

y=xln(x+\sqrt{x^2+3}) \\\\y'=ln(x+\sqrt{x^2+3}) +x*\frac{1+\frac{1}{2}(x^2+3)^{-\frac{1}{2} }*2x}{x+\sqrt{x^2+3} } =ln(x+\sqrt{x^2+3}) +\frac{x+\frac{x^2}{\sqrt{x^2+3} } }{x+\sqrt{x^2+3} } \\\\dy=(ln(x+\sqrt{x^2+3}) +\frac{x+\frac{x^2}{\sqrt{x^2+3} } }{x+\sqrt{x^2+3} } )dx

Пошаговое объяснение:

Вас заинтересует