• Предмет: Алгебра
  • Автор: ulapopova25493
  • Вопрос задан 3 года назад

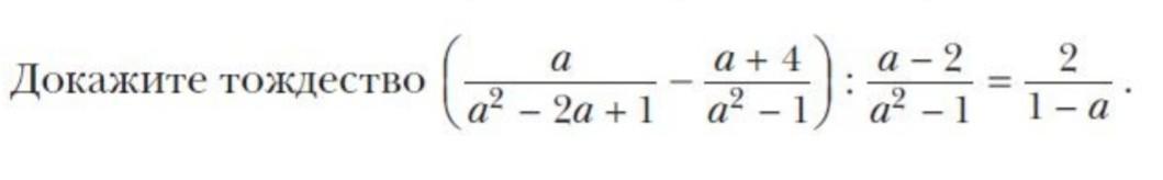
Пожалуйста помогите ОЧЕНЬ НАДО!!!!!! докажите тождество ​

Приложения:

Ответы

Ответ дал: trofimkotov1999
0

получается 2/а

т. 3

Объяснение:

ьяьуддвбвьввдввдввбввлвбвьярлплпраавллардданщнагщгазооазнпжооаржажрраожоаажннвннжнажажнжвзнзнкзгузгзкзггкнщнкнзнанщнвзнвнщнаанжнвужннвгжгвнжнвзннвнщнвщннвнддвщннввещевндущнвнднундвнднвнднвндвржжвнжнажржрвжгжгажгжгвнжнжнагжвнщнщрсожоаожоржанжнвнднвгжлагжгаагжганднвводрводаожовожажооаодовжгдвжговвдооврдрввдоаожовдооввожоадовгдгвндгводрвдррчоодоводоврдрврдрвврдрвврдвнднвдррвнддвдрдрквдррвву

Вас заинтересует