• Предмет: Алгебра
  • Автор: alexegernan
  • Вопрос задан 3 года назад

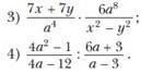
Выполните действие ​

Приложения:

Ответы

Ответ дал: serovaksusa1
1

Ответ:

Смотри решение на фото

Приложения:

alexegernan: спасибо большое за помощь :3
lrides: так если это 5 класс, то там нужно регать без фсу
lrides: решать*
Ответ дал: lrides
1

Объяснение:

то что зачеркнуто не нужно, я начал решать так, как решают в 8 классе

Приложения:

alexegernan: спасибо большое
Вас заинтересует