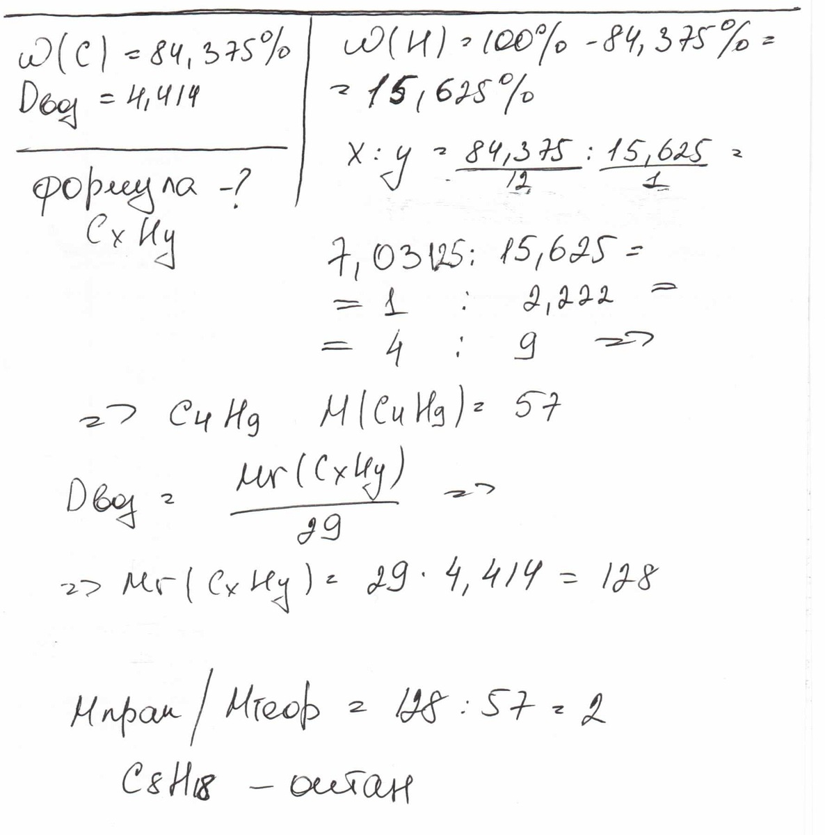
Определить молекулярную формулу вещества если массовая доля углерода 84,375%, остальное водород.Относительная плотность паров вещества по воздуху- 4,414
Ответы
Ответ дал:
0
см.фото........................
Приложения:
Ответ дал:
0
скинь ещё раз фотку))
Вас заинтересует
3 года назад
3 года назад
8 лет назад
8 лет назад
11 лет назад
11 лет назад
11 лет назад
11 лет назад