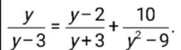
Решите уравнение y/y-3 = y-2/y+3 + 10/y2-9
Приложения:

mibragimova6:
я только знаю ответ что у=2 будет
Ответы
Ответ дал:
0
y/(y-3)=(y-2)/(y+3)+10(y^2-9)
y/(y-3)=(y-2)/(y+3)+10(y-3)(y+3) | ОДЗ: y<>+-3 | *(y-3)(y+3)
y(y+3)=(y-2)(y-3)+10
y^2+3y=y^2-2y-3y+6+10
y^2+3y=y^2-5y+16
8y=16
y=2- входит в ОДЗ, значит, является решением
Вас заинтересует
2 года назад
2 года назад
2 года назад
2 года назад
7 лет назад
9 лет назад