• Предмет: Математика
  • Автор: Вася78
  • Вопрос задан 3 года назад

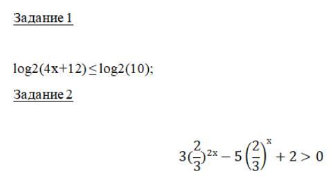
С решением пожалуйста

Приложения:

Ответы

Ответ дал: pomogisdomashkoiii
1

Ответ:

log(4+12)/ log2 =log(10)/ log(2)

log(4x+12) =log(10)

4x +12=10

4x= -2

x= - 1/2

Вас заинтересует