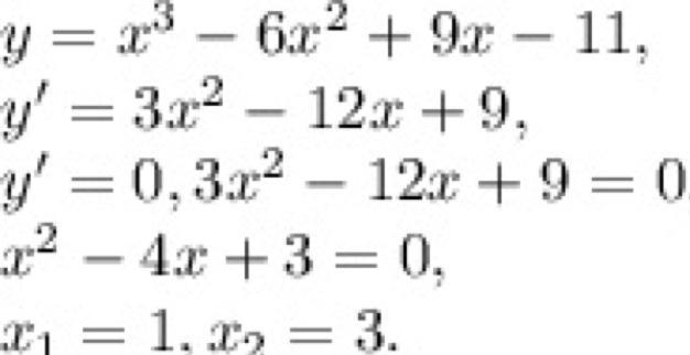
Найдите все значения х, при каждом из которых про-
изводная функции у=x" - 3х" - 6х- 13 равна нулю.
Ответы
Ответ дал:
1
Вот ответ думаю этот ответ тебе поможет
Приложения:
rrddef26:
Вычислите значение производной функции y =ctg4x в точке х,=-n/2
Вас заинтересует
2 года назад
2 года назад
2 года назад
2 года назад
8 лет назад
8 лет назад
9 лет назад
9 лет назад